产品分类
联系我们
CONTACT US
电 话:0379-63210622
手 机:137-0769-6241
地址:洛阳市西工区衡山路五洲国际工业博览城B区31栋119号
乘车路线:可自行驾车前往
一、产品概述
QS型水电泵广泛用于农田排灌、工业及民用建筑的供、排水系统,喷泉工程,以及丘陵、山区的引水,低洼地区的排涝等。其特点是:电机、水泵组成一体,结构简单,且安装拆卸方便,安装占地面积少,使用维护简单,运转安全可靠。目前,我公司可向用户提供扬程5-75米,流量15-250米3/小时,电机功率0.75-7.5kw等三十几种型号的潜水电泵。
二、型号意义
QS40-30/2-5.5
QS–充水式水泵
40–流量(m3/h)
30–扬程(m)
2–水泵级数
5.5–额定功率(kw)
三、结构图
四、技术特性
1.电源:频率50HZ,电压380伏(允许偏差+5%~-10%)的三相交流电源。
2.水源:一般无腐蚀性清水,含砂量不大于0.02%,PH值为:6.5-8.5。被提取的水温不高于规范40℃。
3.安装:电泵应完全浸入水中运行,潜水深度不小于0.5米,不超过5米。
4.水中含固体颗粒的体积比不超过20%介质运动,粘度7×10﹣7㎡/S-23×10﹣6㎡/S。
5.无内自流循环冷却系统的电泵,电机部分露出页面不超过1/3。
五、结构特点
QS型潜水电泵、潜水电机两大部分组成。电机内腔采用充水式定子绕组采用聚乙烯绝缘尼龙套耐水电磁线,保证电机在水介质中正常工作,定转子表面涂特殊的耐水涂料,转子轴伸端有甩砂器,有效的阻止泥沙与水浸入电机腔内,轴承室填充耐水润滑脂,并用骨架油封保护,有效地防止液体进入轴承室损坏轴承,电机腔内充入清洁的水,起到电机冷却作用。
水泵由叶轮、导叶体、进水节、出水管等部件组成,水泵叶轮有离心式、混流式,叶轮的固定采用锥套或键,导叶体采用空间导流壳的形式。
1、电机、水泵一体,潜入水中运行,结构简单,节能高效,安全可靠。
2、造型美观、重量轻、噪音小、无污染,对安放环境适应性强,大幅节省工程造价,不影响建筑、自然景观。
3、安装、使用、维护方便简单,占地面积小。
六、安装拆卸
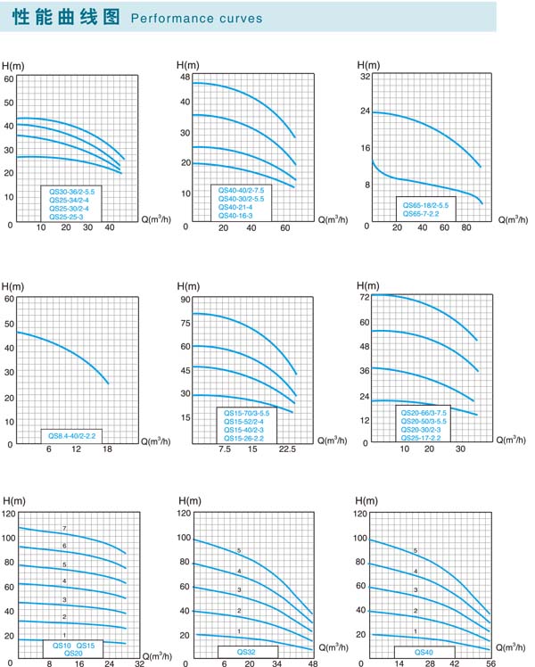
七、性能参数
流量:12-250m3/h;
扬程:5-56m;
转速:2900r/min;
口径:50-100mm;
介质温度:≤40℃。
型号说明:

结构示意图:

QS\QSR型小型潜水泵:




QS型经济适用性小型潜水泵:

性能曲线图:



